
Non esistono regole generali per calcolare gli integrali di funzioni composte.
Dunque non lasciamoci ingannare dal titolo fraudolento.
Quello che andiamo a trattare oggi sono gli integrali di derivate di una funzione composta.
Come noi tutti ben sappiamo esiste una regola che permette di calcolare la derivata di una funzione composta.
Consideriamo la funzione composta f(g(x))
$$ y=f\left(g(x)\right)$$
Per fare la derivata di questa funzione prima calcoliamo la derivata di f rispetto alla contenuta g , poi moltiplichiamo per la derivata della funzione g rispetto alla x
$$ y’=f’\left(g(x)\right)\cdot g'(x)$$
Dunque quello che possiamo certamente fare è l’integrale di questa funzione
$$\int f’\left(g(x)\right)\cdot g'(x)\ dx= f\left(g(x)\right)$$
Elenchiamo sotto le regole a cui ci riferiamo separate nelle loro categorie


INDICE
- 0.1 1) NON ESISTONO INTEGRALI DI FUNZIONI COMPOSTE !
- 0.2 2) REGOLE DI INTEGRAZIONE ELEMENTARI
- 0.3 3) REGOLE DI DERIVAZIONE PER LE FUNZIONI COMPOSTE
- 1 INTEGRALI DI DERIVATE DI FUNZIONI COMPOSTE
- 2 INTEGRALI DI FUNZIONI COMPOSTE – POTENZA
- 3 SCOPRI I LIMITI, LE DERIVATE E GLI INTEGRALI
- 4 INTEGRALI DI FUNZIONI COMPOSTE – ESPONENZIALI
- 5 SCOPRI I LIMITI, LE DERIVATE E GLI INTEGRALI
- 6 INTEGRALI DI FUNZIONI COMPOSTE – GONIOMETRIA
- 7 HAI QUALCHE DOMANDA ?
- 8 SCOPRI I LIMITI, LE DERIVATE E GLI INTEGRALI
- 9 L’ARTICOLO TI è PIACIUTO ?
1) NON ESISTONO INTEGRALI DI FUNZIONI COMPOSTE !
Prima di partire con gli esempi pratici ricordiamo tre semplici concetti
- Non esistono regole per calcolare integrali di funzioni composte
- Le regole di integrazione composte che vedremo sono un ampliamento delle regole per gli integrali elementari
- Se non le capiamo dovremo ritornare alle regole per le derivate di funzioni composte
Infatti non riconosciamo generali per:
- Prodotti di funzioni
- Divisioni di funzioni
- Potenze di funzioni
- Esponenziali di funzioni
- Logaritmo di funzione
- Altre forme goniometriche

Per approfondire scopri i corsi di matematica
2) REGOLE DI INTEGRAZIONE ELEMENTARI
Per aver chiaro le regole di integrazione per le derivate di funzioni composte dobbiamo anzitutto aver chiaro le regole di integrazione sulle funzioni elementari che andiamo a riportare sotto


3) REGOLE DI DERIVAZIONE PER LE FUNZIONI COMPOSTE
Un altro tassello fondamentale per imparare le regole di integrazione per le derivate di funzioni composte è proprio conoscere quali sono le regole di derivazione principali per le funzioni composte
Andiamo a riportarle dunque qui sotto


INTEGRALI DI DERIVATE DI FUNZIONI COMPOSTE
Una volta chiariti questi tre aspetti siamo finalmente pronti ad analizzare gli integrali di derivate di funzioni composte.
Sotto riportiamo ancora una volta queste regole


Focalizziamoci per un attimo sulla prima di queste regole quella che ha per oggetto l’integrale della potenza derivata
$$\int\left(f(x)\right)^\alpha\ dx= \frac{\left(f(x)\right)^{\alpha+1}}{\alpha+1}+c$$
Questa regola può essere vista come l’operatore inversa della regola di derivazione sulla funzione potenza
$$ y=\left(f(x)\right)^\alpha\to y’= \alpha\left(f(x)\right)^{\alpha-1}f'(x)$$

che potrebbe essere riscritta anche così
$$ y=\frac{\left(f(x)\right)^{\alpha+1}}{\alpha+1}\to y’=\left(f(x)\right)^\alpha f'(x)$$
Oppure la possiamo vedere come un ampliamento della regola di integrazione elementare della potenza
$$ x^\alpha\ dx= \frac{x^{\alpha+1}}{\alpha+1}+c$$
Che potrebbe essere anche scritta in questo modo:
$$ x^\alpha\cdot 1\ dx= \frac{x^{\alpha+1}}{\alpha+1}+c$$
Ricordiamo che 1 altro non è che la derivata di x, dunque
$$ x^\alpha\cdot (x)’\ dx= \frac{x^{\alpha+1}}{\alpha+1}+c$$
Lo stesso ragionamento vale per tutte le altre regole di integrali di funzioni composte (quelle particolari)
INTEGRALI DI FUNZIONI COMPOSTE – POTENZA
Cominciamo il nostro viaggio nella teoria degli integrali di funzioni composte con una serie di esempi riguardanti il caso della potenza
In questi esempi usiamo la seguente regola di integrazione appena approfondita
$$\int\left(f(x)\right)^\alpha\ dx= \frac{\left(f(x)\right)^{\alpha+1}}{\alpha+1}+c$$
ESEMPIO 1
$$\large \int(x^2-x+1)^3(2x-1)\ dx$$
Possiamo notare subito che nella seconda parentesi la funzione è la derivata prima della funzione elevata a potenza.
Dunque ci troviamo nel caso
$$\int\left(f(x)\right)^\alpha\ dx= \frac{\left(f(x)\right)^{\alpha+1}}{\alpha+1}+c$$
Dove:
$$ f(x)=x^2-x+1\quad f'(x)=2x-1$$
Pertanto applicando la regola di integrazione otteniamo:
$$ \int(x^2-x+1)^3(2x-1)\ dx=\frac{(x^2-x+1)^4}{4}+c$$
ESEMPIO 2
$$ \large \int(e^x-\sin x+\log x)^4\left(e^x-\cos x+frac{1}{x}\right)\ dx $$
NB: faccio alcune precisazioni sul testo:
- ex è la funzione esponenziale con base e (numero di Nepero)
- log x è la funzione logaritmica in base e (logaritmo naturale)
- sin x è la funzione goniometrica seno di x
- cos x è la funzione goniometrica coseno di x
Possiamo notare subito che nella seconda parentesi la funzione è la derivata prima della funzione elevata a potenza.
Dunque ci troviamo nel caso
$$\int\left(f(x)\right)^\alpha\ dx= \frac{\left(f(x)\right)^{\alpha+1}}{\alpha+1}+c$$
Dove:
$$ f(x)= e^x-\sin x+\log x\quad f'(x)=e^x-\cos x+frac{1}{x}$$
Pertanto applicando la regola di integrazione otteniamo:
$$ \int(e^x-\sin x+\log x)^4\left(e^x-\cos x+frac{1}{x}\right)\ dx = \frac{(e^x-\sin x+\log x)^5}{5}+c$$
ESEMPIO 3
$$ \large \int\sqrt{x^2e^x-\sin x}(xe^x(2+x)-\cos x)\ dx$$
Riscriviamo il radicale come una potenza di esponente 1/2
$$ \int(x^2e^x-\sin x)^\frac{1}{2}(xe^x(2+x)-\cos x)\ dx$$
Nella seconda parentesi la funzione è la derivata prima della funzione elevata a potenza.
Infatti la derivata della base della potenza è:
$$ \left((x^2e^x-\sin x)^\frac{1}{2}\right)’=(x^2e^x)’-(\sin x)’=\\ (2xe^x+x^2e^x+x^2e^x)-\cos x=xe^x(2+x)-\cos x $$
Dunque ci troviamo nel caso
$$\int\left(f(x)\right)^\alpha\ dx= \frac{\left(f(x)\right)^{\alpha+1}}{\alpha+1}+c$$
Applichiamo dunque la regola di integrazione otteniamo:
$$ =\frac{(x^2e^x-\sin x)^\frac{3}{2}}{\frac{3}{2}}+c=\frac{2}{3}\sqrt{(x^2e^x-\sin x)^3}
ESEMPIO 4
$$\large \int\frac{2^x\log2+3^x\log3+5^x\log5}{\sqrt[3]{2^x+3^x+5^x}}\ dx$$
Riscriviamo il radicale al denominatore come una potenza di esponente -1/3
$$ \int (2^x+3^x+5^x)^{-\frac{1}{3}}(2^x\log2+3^x\log3+5^x\log5)\ dx$$
Nella seconda parentesi la funzione è la derivata prima della funzione elevata a potenza.
Dunque ci troviamo nel caso
$$\int\left(f(x)\right)^\alpha\ dx= \frac{\left(f(x)\right)^{\alpha+1}}{\alpha+1}+c$$
Applichiamo dunque la regola di integrazione otteniamo:
$$ =\frac{(2^x+3^x+5^x)^\frac{2}{3}}{\frac{2}{3}}= \frac{3}{2}\sqrt[3]{(2^x+3^x+5^x)^2}+c$$
ESEMPIO 5
$$\large \int\frac{\log x}{x}\ dx$$
Riscriviamo il radicale come una potenza di esponente 1/2
$$\int\frac{\log x}{x}\ dx= \int\frac{(\log x)^\frac{1}{2}}{x}$$
Ricordiamo che dividere per x è come moltiplicare per 1/x
$$\int\frac{\log x}{x}\ dx= \int\frac{(\log x)^\frac{1}{2}}{x}= \int(\log x)^\frac{1}{2}\cdot \frac{1}{x}$$
1/x è esattamente la derivata di logx che viene elevato alla 1/2
Dunque ci troviamo nel caso
$$\int\left(f(x)\right)^\alpha\ dx= \frac{\left(f(x)\right)^{\alpha+1}}{\alpha+1}+c$$
Applichiamo dunque la regola di integrazione otteniamo:
$$\int\frac{\log x}{x}\ dx= \int(\log x)^\frac{1}{2}\cdot \frac{1}{x}=\frac{(\log x)^\frac{3}{2}}{\frac{3}{2}}= \frac{2}{3}\sqrt{\log^3x}+c$$
ESEMPIO 6
$$ \large \sqrt[3]{\frac{x^2-x}{x+1}}\cdot \frac{x^2+2x-1}{(x+1)^2}\ dx $$
Riscriviamo il radicale come una potenza di esponente 1/3
$$ \left( \frac{x^2-x}{x+1} \right)^\frac{1}{3}\cdot \frac{x^2+2x-1}{(x+1)^2}\ dx $$
Notiamo che ka frazione a destra è la derivata della frazione che si trova come base della potenza infatti
$$ \left( \frac{x^2-x}{x+1} \right)’ = \\ \ \\ \begin{array}{l} \large \frac{(x^2-x)'(x+1)-(x^2-x)(x+1)’}{(x+1)^2}=\\ \large \frac{(2x-1)(x+1)-(x^2-x)\cdot 1}{(x+1)^2}=\\ \large \frac{2x^2+2x-x-1-x^2+x}{(x+1)^2}=\\ \large \frac{x^2+2x-1}{(x+1)^2} \end{array}$$
Dunque per risolvere l’integrale possiamo applicare la regola di integrazione per le potenze
$$\int\left(f(x)\right)^\alpha\ dx= \frac{\left(f(x)\right)^{\alpha+1}}{\alpha+1}+c$$
Applichiamo questa regola di integrazione otteniamo:
$$ \left( \frac{x^2-x}{x+1} \right)^\frac{1}{3}\cdot \frac{x^2+2x-1}{(x+1)^2}\ dx = \frac{\left( \frac{x^2-x}{x+1} \right)^\frac{4}{3}}{\frac{4}{3}}= \frac{3}{4}\sqrt[3]{\left( \frac{x^2-x}{x+1} \right)^4}+c$$
ESEMPIO 7
$$ \int\frac{\frac{1}{\sqrt{1-x^2}}+\frac{1}{1+x^2}}{(\sin^{-1}x+\tan^{-1}x)^2}\ dx$$
Riscriviamo il quadrato al denominatore come una potenza di esponente -2
$$\int(\sin^{-1}x+\tan^{-1}x)^{-2}\cdot\left(\frac{1}{\sqrt{1-x^2}}+\frac{1}{1+x^2}\right)\ dx$$
Notiamo subito che nella parentesi a destra vi è la derivata della frazione che si trova come base della potenza infatti
$$(sin^{-1}x)’= \frac{1}{\sqrt{1-x^2}}\quad (tan^{-1}x)’=\frac{1}{1+x^2}$$
Dunque per risolvere l’integrale possiamo applicare la regola di integrazione per le potenze
$$\int\left(f(x)\right)^\alpha\ dx= \frac{\left(f(x)\right)^{\alpha+1}}{\alpha+1}+c$$
Applichiamo questa regola di integrazione otteniamo:
$$\int(\sin^{-1}x+\tan^{-1}x)^{-2}\cdot\left(\frac{1}{\sqrt{1-x^2}}+\frac{1}{1+x^2}\right)\ dx \\ \ \\ =\frac{(\sin^{-1}x+\tan^{-1}x)^{-1}}{-1}= -\frac{1}{\sin^{-1}x+\tan^{-1}x}$$
SCOPRI I LIMITI, LE DERIVATE E GLI INTEGRALI
Comincia il tuo percorso in una delle più avvincenti storie della matematica del XVII e del XVIII secolo.
Un viaggio incredibile che ti porterà a scoprire ed apprendere i segreti dei limiti, delle derivate e degli integrali
INTEGRALI DI FUNZIONI COMPOSTE – ESPONENZIALI
Continuiamo i nostri esempi sugli integrali di funzioni composte con una bella carrellata di esercizi sugli esponenziali
Le regole a cui faremo riferimento sono le seguenti:
$$ \int e^{f(x)}f'(x)\ dx= e^{f(x)}+c\qquad \int a^{f(x)}\ f'(x)\ dx= \frac{a^{f(x)}}{\log a}+c$$
ESEMPIO 1
$$ \large \int e^{x^2+x+1}(2x+1)\ dx$$
Notiamo immediatamente la presenza di una funzione esponenziale e che nella parentesi destra vi è la derivata della funzione all’esponente.
Dunque ci troviamo nel caso
$$ \int e^{f(x)}f'(x)\ dx= e^{f(x)}+c$$
Dove:
$$ f(x)=x^2+x+1 \quad f'(x)=2x+1$$
Pertanto applicando la regola di integrazione otteniamo:
$$ \int e^{x^2+x+1}(2x+1)\ dx= e^{x^2+x+1}+c$$
ESEMPIO 2
$$ \large\int e^{x\log x-\sin x}(\log x+1-\sin x)\ dx$$
Notiamo la presenza di una funzione esponenziale e che nella parentesi destra vi è la derivata della funzione all’esponente.
Dunque ci troviamo nel caso
$$ \int e^{f(x)}f'(x)\ dx= e^{f(x)}+c$$
Dove:
$$ f(x)= x\log x-\sin x\quad f'(x)=\log x+1-\sin x
Pertanto applicando la regola di integrazione otteniamo:
$$\int e^{x\log x-\sin x}(\log x+1-\sin x)\ dx= e^{x\log x-\sin x}+c$$
ESEMPIO 3
$$\large \int\frac{x2^\sqrt{x^2-1}}{\sqrt{x^2-1}}\ dx$$
Riscriviamola meglio come il prodotto tra un esponenziale di 2 e una frazione
$$ \int2^\sqrt{x^2-1}\cdot \frac{x}{\sqrt{x^2-1}}$$
Notiamo che la frazione che moltiplica l’esponenziale è la derivata dell’esponente, infatti
$$\left(\sqrt{x^2-1}\right)’= \left((x^2-1)^\frac{1}{2}\right)’=\frac{1}{2}(x^2-1)^{-\frac{1}{2}}2x=\frac{x}{\sqrt{x^2-1}}\ dx$$
Dunque ci troviamo nel caso
$$\int a^{f(x)}\ f'(x)\ dx= \frac{a^{f(x)}}{\log a}+c$$
Dove:
$$ f(x)=\sqrt{x^2-1}\qquad f'(x)=\frac{x}{\sqrt{x^2-1}}$$
Pertanto applicando la regola di integrazione otteniamo:
$$ \int2^\sqrt{x^2-1}\cdot \frac{x}{\sqrt{x^2-1}}= \frac{2^\sqrt{x^2-1}}{\sqrt{x^2-1}}$$
ESEMPIO 4
$$\large \int\frac{e^{\tan^{-1}x}}{1+x^2}\ dx$$
Riscriviamo meglio il testo in questo modo
$$ \int e^{\tan^{-1}x}\frac{1}{1+x^2}\ dx$$
Notiamo che la frazione a destra è la derivata prima dell’esponente infatti
$$ (\tan^{-1}x)’=\frac{1}{1+x^2}$$
Dunque ci troviamo nel caso
$$ \int e^{f(x)}f'(x)\ dx= e^{f(x)}+c$$
Integrando abbiamo che
$$ \int e^{\tan^{-1}x}\frac{1}{1+x^2}\ dx=e^{\tan^{-1}x}+c $$
ESEMPIO 5
$$ \large \int\frac{\pi^\frac{x}{x+1}}{(x+1)^2}\ dx$$
Riscriviamola meglio come il prodotto tra un esponenziale di 𝜋 e una frazione
$$ \int\frac{\pi^\frac{x}{x+1}}{(x+1)^2}\ dx= \int\pi^\frac{x}{x+1}\frac{1}{(x+1)^2}$$
La frazione che moltiplica l’esponenziale è la derivata dell’esponente infatti
$$ \left(\frac{x}{x+1}\right)’=\frac{(x)'(x+1)-(x)(x+1)’}{(x+1)^2}\\ \ \\ =\frac{1\cdot(x+1)-x\cdot1}{(x+1)^2}= \frac{x+1-x}{(x+1)^2}= \frac{1}{(x+1)^2}$$
Dunque ci troviamo nel caso
$$\int a^{f(x)}\ f'(x)\ dx= \frac{a^{f(x)}}{\log a}+c$$
Pertanto applicando la regola di integrazione otteniamo:
$$ \int\frac{\pi^\frac{x}{x+1}}{(x+1)^2}\ dx = \frac{\pi\frac{x}{x+1}}{\log\pi}+c$$
ESEMPIO 6
$$\large\int\frac{e^{\log x}}{x}\ dx$$
Riscriviamo meglio il testo in questo modo
$$ \int e^{\log x}\frac{1}{x}\ dx$$
Notiamo che la frazione a destra è la derivata prima dell’esponente infatti
$$(\log x)’=\frac{1}{x}$$
Dunque ci troviamo nel caso
$$ \int e^{f(x)}f'(x)\ dx= e^{f(x)}+c$$
Integrando abbiamo che
$$ \int e^{\log x}\frac{1}{x}\ dx = e^{\log x}+c$$
Un attento osservatore matematico avrebbe certamente notato che:
$$ e^{\log x}=x$$
Dunque l’integrale di partenza era già risolto in maniera elementare
$$\int\frac{e^{\log x}}{x}\ dx= \int\frac{x}{x}\ dx= \int1\ dx= x+c$$
Ovviamente il risultato è valido solo per le x positive (dominio della funzione logaritmica).
SCOPRI I LIMITI, LE DERIVATE E GLI INTEGRALI
INTEGRALI DI FUNZIONI COMPOSTE – LOGARITMO
Proseguiamo il nostro viaggio alla scoperta degli integrali di funzioni composte calcolando ad integrali che ci conducono a logaritmi.
L’integrale di una frazione in cui il numeratore è la derivata del denominatore è il logaritmo naturale (scriviamo log) del modulo o valore assoluto del denominatore.
$$ \int\frac{f'(x)}{f(x)}\ dx= \log\left|f(x)\right|+c$$
ESEMPIO 1
$$ \large \int\frac{2x+3}{x^2+3x+1}\ dx$$
Notiamo che si tratta di calcolare l’integrale di una frazione dove al numeratore è presente la derivata del denominatore.
Questa operazione ci condurrà ad un logaritmo (naturale) il cui argomento è il modulo del denominatore della frazione
Dunque ci troviamo nel caso
$$ \int\frac{f'(x)}{f(x)}\ dx= \log\left|f(x)\right|+c$$
Dove:
$$ f(x)=x^2+3x+1\qquad f'(x)=2x+3$$
Pertanto applicando la regola di integrazione otteniamo:
$$ \int\frac{2x+3}{x^2+3x+1}\ dx= \log|x^2+3x+1|+c$$
ESEMPIO 2
$$\large\int\frac{e^x+2x-\frac{1}{x}}{e^x+x^2-\log x}\ dx$$
Notiamo che si tratta di calcolare l’integrale di una frazione dove al numeratore è presente la derivata del denominatore.
Questa operazione ci condurrà ad un logaritmo (naturale) il cui argomento è il modulo del denominatore della frazione
Dunque ci troviamo nel caso
$$ \int\frac{f'(x)}{f(x)}\ dx= \log\left|f(x)\right|+c$$
Dove:
$$ f(x)=e^x+2x-\frac{1}{x}\qquad f'(x)=e^x+2x-\frac{1}{x}$$
Pertanto applicando la regola di integrazione otteniamo:
$$\int\frac{e^x+2x-\frac{1}{x}}{e^x+x^2-\log x}\ dx= \log|e^x+x^2-\log x|+c$$
ESEMPIO 3
$$ \int\frac{1}{x \log x}\ dx$$
Riscriviamo il testo in questo modo:
$$ \int\frac{1}{x \log x}\ dx= \int\frac{\frac{1}{x}}{\log x}\ dx$$
Notiamo che si tratta di calcolare l’integrale di una frazione dove al numeratore è presente la derivata del denominatore.
Questa operazione ci condurrà ad un logaritmo (naturale) il cui argomento è il modulo del denominatore della frazione
Dunque ci troviamo nel caso
$$ \int\frac{f'(x)}{f(x)}\ dx= \log\left|f(x)\right|+c$$
Dove:
$$ f(x)= \log x\qquad f'(x)=\frac{1}{x} $$
Pertanto applicando la regola di integrazione otteniamo:
$$ \int\frac{1}{x \log x}\ dx= \int\frac{\frac{1}{x}}{\log x}\ dx= \log|\log x|+c$$
ESEMPIO 4
$$ \large\int\frac{2^x\log2+3^x\log3+5^x\log5}{2^x+3^x+5^x}\ dx$$
Notiamo che si tratta di calcolare l’integrale di una frazione dove al numeratore è presente la derivata del denominatore.
Questa operazione ci condurrà ad un logaritmo (naturale) il cui argomento è il modulo del denominatore della frazione
Dunque ci troviamo nel caso
$$ \int\frac{f'(x)}{f(x)}\ dx= \log\left|f(x)\right|+c$$
Dove:
$$ f(x)=2^x+3^x+5^x\quad f'(x)=2^x\log2+3^x\log3+5^x\log5$$
Pertanto applicando la regola di integrazione otteniamo:
Dal momento che l’argomento è sempre positivo possiamo anche omettere il modulo all’argomento del logaritmo
$$ \int\frac{2^x\log2+3^x\log3+5^x\log5}{2^x+3^x+5^x}\ dx= \log(2^x+3^x+5^x)+c$$
ESEMPIO 5
$$ \large\int\frac{\cos x-\sin x}{\sin x+\cos x}\ dx$$
Il numeratore della frazione da integrare è precisamente la derivata del denominatore.
Pertanto integrando arriveremo ad un logaritmo (naturale) il cui argomento è il modulo del denominatore della frazione
Dunque ci troviamo nel caso
$$ \int\frac{f'(x)}{f(x)}\ dx= \log\left|f(x)\right|+c$$
Dove:
$$ f(x)= \sin x+\cos x\qquad f'(x)= \cos x-\sin x$$
Pertanto applicando la regola di integrazione otteniamo:
$$ \int\frac{\cos x-\sin x}{\sin x+\cos x}\ dx$$
ESEMPIO 6
$$ \large \int\tan x\ dx$$
La tangente è definita come il rapporto tra il seno e il coseno dunque
$$ \int\tan x\ dx= \int\frac{\sin x}{\cos x}\ dx$$
Il numeratore della frazione da integrare è l’opposto della derivata del denominatore.
Moltiplichiamo pertanto per –1 sia all’interno che all’esterno dell’integrale
$$ \int\tan x\ dx= \int\frac{\sin x}{\cos x}\ dx= -\int\frac{-\sin x}{\cos x}\ dx$$
A questo punto applichiamo la regola di integrazione che ci porta all’integrale
$$ \int\frac{f'(x)}{f(x)}\ dx= \log\left|f(x)\right|+c$$
Pertanto applicando la regola di integrazione otteniamo:
$$ \int\tan x\ dx= \int\frac{\sin x}{\cos x}\ dx= -\int\frac{-\sin x}{\cos x}\ dx= -\log|\cos x|+c$$
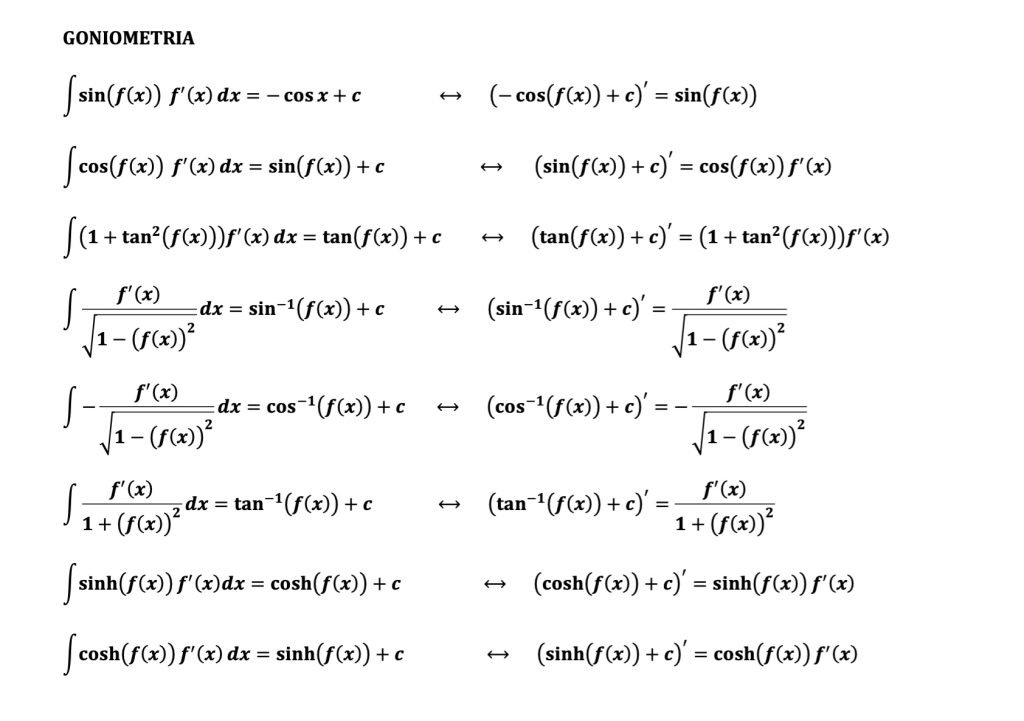
INTEGRALI DI FUNZIONI COMPOSTE – GONIOMETRIA
Chiudiamo il nostro fantastico viaggio spaziale negli integrali di funzioni composte vari esempi di natura goniometrica
Le regole cui fare mo riferimento sono le seguenti:
$$ \begin{array}{l|l} \int\sin\left(\sin f(x)\right) f'(x)\ dx= -\cos\left(f(x)\right)+c & \int\frac{f'(x)}{\sqrt{1-\left(f(x)\right)^2}}= \sin^{-1}\left(f(x)\right) \\ \int\cos\left(\sin f(x)\right) f'(x)\ dx= \sin\left(f(x)\right)+c & \int-\frac{f'(x)}{\sqrt{1-\left(f(x)\right)^2}}= \cos^{-1}\left(f(x)\right) \\ \int\left(1+\tan^2\left(f(x)\right)\right)\ f'(x)= \tan\left(f(x)\right)+c & \int\frac{f'(x)}{1+\left(f(x)\right)^2}= \tan^{-1}\left(f(x)\right)+c \end{array}$$
ESEMPIO 1
$$ \large \int\sin(x^2-x)\cdot (2x-1)\ dx$$
Notiamo che nella seconda parentesi che moltiplica il seno di una certa funzione abbiamo esattamente la derivata di questa funzione
Dunque ci troviamo nel caso
$$ \int\sin\left(\sin f(x)\right) f'(x)\ dx= -\cos\left(f(x)\right)+c $$
Dove:
$$ f(x)=x^2-x\qquad f'(x)=2x-1$$
Pertanto applicando la regola di integrazione otteniamo:
$$ \int\sin(x^2-x)\cdot (2x-1)\ dx= -\cos(x^2-x)+c$$
ESEMPIO 2
$$\large \int\cos(\sqrt{x}-e^x)\cdot \left(\frac{1}{2\sqrt{x}}-e^x\right)\ dx$$
Notiamo che nella seconda parentesi che moltiplica il seno di una certa funzione abbiamo esattamente la derivata di questa funzione
Dunque ci troviamo nel caso
$$ \int\cos\left(\sin f(x)\right) f'(x)\ dx= \sin\left(f(x)\right)+c $$
Dove:
$$ f(x)= \sqrt{x}-e^x \qquad f'(x)= \frac{1}{2\sqrt{x}}-e^x$$
Pertanto applicando la regola di integrazione otteniamo:
$$\int\cos(\sqrt{x}-e^x)\cdot \left(\frac{1}{2\sqrt{x}}-e^x\right)\ dx=\sin(\sqrt{x}-e^x)$$
ESEMPIO 3
$$ \large\int\left(1+\tan^2\left(\frac{x}{e^x}\right)\right)\frac{1-x}{e^x}\ dx$$
All’interno della parentesi abbiamo 1 più il quadrato della tangente di una certa funzione.
Questa quantità viene moltiplicata a destra per la derivata prima dell’argomento della tangente infatti
$$ \left(\frac{x}{e^x}\right)’= \frac{(x)’ e^x-x(e^x)’}{(e^x)^2}= \frac{e^x-xe^x}{(e^x)^2}= \frac{e^x(1-x)}{(e^x)^2}=\frac{1-x}{e^x}$$
Dunque ci troviamo nel caso
$$ \int\left(1+\tan^2\left(f(x)\right)\right)\ f'(x)= \tan\left(f(x)\right)+c $$
Dove:
$$ f(x)=\frac{x}{e^x}\qquad f'(x)=\frac{1-x}{e^x}$$
Pertanto applicando la regola di integrazione otteniamo:
$$ \int\left(1+\tan^2\left(\frac{x}{e^x}\right)\right)\frac{1-x}{e^x}\ dx= \tan\left(\frac{x}{e^x}\right)+c$$
ESEMPIO 4
$$ \int\frac{e^x}{\sqrt{1-e^{2x}}}\ dx$$
Notiamo che al denominatore della frazione è presente la radice quadrata di uno meno il quadrato della funzione esponenziale ex.
Mentre al numeratore vi è la derivata di quella funzione esponenziale ex.
$$ \int\frac{e^x}{\sqrt{1-e^{2x}}}\ dx=\int\frac{(e^x)’}{\sqrt{1-(e^x)^2}}\ dx $$
Dunque ci troviamo nel caso che ci porterà ad avere come integrale l’arcoseno di f(x)
$$ \int\frac{f'(x)}{\sqrt{1-\left(f(x)\right)^2}}= \sin^{-1}\left(f(x)\right) $$
Dove
$$ f(x)=f'(x)=e^x$$
Integrando abbiamo che
$$ \int\frac{e^x}{\sqrt{1-e^{2x}}}\ dx=\int\frac{(e^x)’}{\sqrt{1-(e^x)^2}}\ dx= \sin^{-1}(e^x)+c $$
ESEMPIO 5
$$ \large\int\frac{e^x(x+1)}{1+x^2e^{2x}}\ dx$$
Al denominatore della frazione abbiamo uno più il quadrato della funzione xex.
Mentre al numeratore abbiamo la derivata di xex infatti
$$(xe^x)’= 1\cdot e^x+x e^x=e^x(1+x)$$
Possiamo quindi riscrivere il nostro integrale nel seguente modo:
$$ \int\frac{e^x(x+1)}{1+x^2e^{2x}}\ dx= \int\frac{(xe^x)’}{1+(xe^x)^2}\ dx$$
Siccome al denominatore abbiamo la somma tra 1 ed il quadrato della funzione f(x) possiamo affermare di trovarci nella situazione generale:
$$ \int\frac{f'(x)}{1+\left(f(x)\right)^2}= \tan^{-1}\left(f(x)\right)+c $$
Pertanto applicando la regola di integrazione otteniamo:
$$ \int\frac{e^x(x+1)}{1+x^2e^{2x}}\ dx= \int\frac{(xe^x)’}{1+(xe^x)^2}\ dx= \tan^{-1}(xe^x)+c$$
HAI QUALCHE DOMANDA ?
Se questo articolo ti ha fatto venire qualche domanda scrivila nei commenti.
SCOPRI I LIMITI, LE DERIVATE E GLI INTEGRALI
Comincia il tuo percorso in una delle più avvincenti storie della matematica del XVII e del XVIII secolo.
Un viaggio incredibile che ti porterà a scoprire ed apprendere i segreti dei limiti, delle derivate e degli integrali
L’ARTICOLO TI è PIACIUTO ?
Se questo contenuto ti è piaciuto e vorresti che anche altri utenti possano goderne di questo ed altri ancora sostieni il progetto offrendomi un semplice caffè virtuale
Questo semplice gesto per me significa moltissimo e può essere un forte impulso per lo sviluppo di tutto il progetto di divulgazione matematica
Visita il canale YouTube!