
Le regole di derivazione sono regole per il calcolo delle derivate prime che si applicano per derivare diverse tipologie di funzione.
In questo articolo vediamo:
- Regole di derivazione per funzioni elementari
- Dimostrazione delle regole elementari
- Regole di derivazione per operazioni semplici
- Regole di derivazione per funzioni composte
REGOLE DI DERIVAZIONE PER FUNZIONI ELEMENTARI
Sotto elenchiamo le regole per il calcolo delle derivate di funzioni elementari che classifichiamo in
- Costanti
- Rette
- Potenze (e radici)
- Esponenziali
- Logaritmiche
- Goniometriche


INDICE
- 1 DIMOSTRAZIONE DELLE REGOLE DI DERIVAZIONE
- 1.1 DERIVATA DI UNA FUNZIONE COSTANTE
- 1.2 DERIVATA DELLA FUNZIONE X
- 1.3 DERIVATA DELLA FUNZIONE POTENZA
- 1.4 DERIVATA DELLA FUNZIONE ESPONENZIALE e^x
- 1.5 DERIVATA DELLA FUNZIONE ESPONENZIALE a^x
- 1.6 DERIVATA DELLA FUNZIONE LOGARITMICA log(1+x) (BASE e)
- 1.7 DERIVATA DELLA FUNZIONE LOGARITMICA log(a) x
- 1.8 SCOPRI I LIMITI, LE DERIVATE E GLI INTEGRALI
- 1.9 DERIVATA DELLA FUNZIONE GONIOMETRICA SENO
- 1.10 DERIVATA DELLA FUNZIONE GONIOMETRICA COSENO
- 1.11 DERIVATA DELLA FUNZIONE GONIOMETRICA TANGENTE
- 1.12 DERIVATE DI ARCOSENO, ARCOCOSENO E ARCOCOTANGENTE
- 1.13 DERIVATE DI SENO COSENO IPERBOLICO
- 2 REGOLE DI DERIVAZIONE DI OPERAZIONI SEMPLICI
- 3 DERIVATE DI FUNZIONI COMPOSTE
- 4 ELENCO DELLE DERIVATE DI FUNZIONI COMPOSTE
- 5 DERIVATE DI FUNZIONI IN DUE VARIABILI
- 6 HAI QUALCHE DOMANDA ?
- 7 SCOPRI I LIMITI, LE DERIVATE E GLI INTEGRALI
- 8 L’ARTICOLO TI è PIACIUTO ?
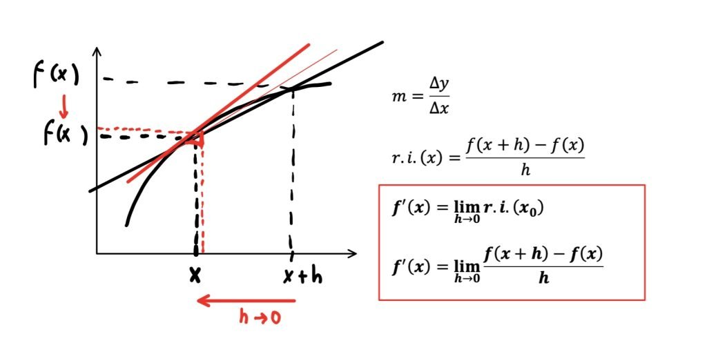
DIMOSTRAZIONE DELLE REGOLE DI DERIVAZIONE
Tutte queste regole di derivazione possono essere dimostrate mediante la definizione di derivata.
Ricordiamo che la derivata di una funzione viene definita come il limite del rapporto incrementale quando l’incremento di x (che chiamiamo h) tende a zero.
$$f'(x)=\lim_{h\to0}\frac{f(x+h)-f(x)}{h}$$
Dal punto di vista geometrico la funzione è una funzione che esprime il coefficiente angolare della retta tangente alla funzione in suo punto x

Vediamo ora di dimostrare le regole sopra elencate mediante questa procedura.
DERIVATA DI UNA FUNZIONE COSTANTE
Consideriamo la funzione costante:
$$ f(x)=k\qquad \text{k $\in\mathbb{R}$}$$
Applichiamo per il calcolo il limite del rapporto incrementale
$$\begin{aligned}&f'(x)=\lim_{h\to0}\frac{f(x+h)-f(x)}{h}\\&f'(x)=\lim_{h\to0}\frac{k-k}{h}=\lim_{h\to0}\frac{0}{h}=0 \end{aligned}$$
Notiamo infatti che al numeratore troviamo uno “zero secco” mentre al denominatore una quantità infinitesima
DERIVATA DELLA FUNZIONE X
Consideriamo la funzione x:
$$ f(x)=x$$
Questa identifica la bisettrice del primo e del terzo quadrante.
Applichiamo per il calcolo il limite del rapporto incrementale
$$\begin{aligned}&f'(x)=\lim_{h\to0}\frac{f(x+h)-f(x)}{h}\\&f'(x)=\lim_{h\to0}\frac{x+h-x}{h}=\lim_{h\to0}\frac{h}{h}=1 \end{aligned}$$
DERIVATA DELLA FUNZIONE POTENZA
Consideriamo la funzione potenza ad esponente reale:
$$ f(x)=x^\alpha\qquad \text{con $\alpha\in\mathbb{R}$}$$
Ricordiamo che l’esponente è un numero reale, quindi può essere un numero naturale, che sono le classiche funzioni potenza più conosciute, come ad esempio:
$$ y=x^1\quad y=x^2\quad y=x^3\quad \cdots$$
Può essere un numero negativo:
$$ y=x^{-1}=\frac{1}{x}\quad y=x^{-2}=\frac{1}{x^2}\quad y=x^{-3}=\frac{1}{x^3}\quad \cdots$$
Ma anche un numero razionale (frazione) dunque cadiamo nel caso delle funzioni radici, come ad esempio:
$$ y=x^{\frac{1}{2}}=\sqrt[]{x}\quad y=x^{\frac{2}{3}}=\sqrt[3]{x^2}\quad y=x^{-\frac{3}{5}}=\sqrt[5]{x^3}\quad \cdots$$
Oppure in generale anche un numero irrazionale o trascendente
$$ y=x^\pi\quad y=x^\sqrt{2}\quad y=x^{-e}\quad \cdots$$
Applichiamo per il calcolo il limite del rapporto incrementale
$$\begin{aligned}&f'(x)=\lim_{h\to0}\frac{f(x+h)-f(x)}{h}\\&f'(x)=\lim_{h\to0}\frac{(x+h)^\alpha-x^\alpha}{h}=\frac{0}{0} \end{aligned}$$
Qui dobbiamo sfoggiare le nostre abilità relative al calcolo dei limiti notevoli
Nella frazione raccogliamo a fattor comune e portiamola di fuori
$$\frac{\left(x+h\right)-x^\alpha}{h}= \frac{\left(x\left(1+\frac{h}{x}\right)\right)-x^\alpha}{h}= \frac{x^\alpha\left(1+\frac{h}{x}\right)^\alpha-x^\alpha}{h}= $$
Raccogliamo x𝛼 a fattor comune e poi la spostiamo fuori dal limite (ricordiamo che è la h che tende a zero dunque x è costante)
$$ f'(x)=x^\alpha\lim_{h\to0}\frac{\left(1+\frac{1}{x}h\right)^\alpha-1}{h}$$
Ricordiamo che per i limiti notevoli la quantità al numeratore diventa asintotica ad 𝛼h/x quando h tende a zero:
$$(h\to0)\to \left(1+\frac{1}{x}h\right)^\alpha-1\sim\alpha h\frac{1}{x}$$
Dunque in maniera asintotica scriviamo che:
$$ f'(x)=x^\alpha\lim_{h\to0}\frac{\left(1+\frac{1}{x}h\right)^\alpha-1}{h}\sim x^\alpha\lim_{h\to0}\frac{\alpha h\frac{1}{x}}{h}=x^\alpha\alpha h\frac{1}{x}=\alpha x^{\alpha-1}$$
DERIVATA DELLA FUNZIONE ESPONENZIALE e^x
Consideriamo la funzione esponenziale con base e (numero di Nepero):
$$ f(x)=e^x$$
Applichiamo per il calcolo il limite del rapporto incrementale
$$\begin{aligned}&f'(x)=\lim_{h\to0}\frac{f(x+h)-f(x)}{h}\\&f'(x)=\lim_{h\to0}\frac{e^{x+h}-e^x}{h}=\frac{0}{0} \end{aligned}$$
Applichiamo le proprietà delle potenze e raccogliamo e alla x
$$f'(x)=\lim_{h\to0}\frac{e^x\ e^h-e^x}{h}=e^x\lim_{h\to0}\frac{e^h-1}{h}$$
Per i limiti notevoli la quantità al numeratore diventa asintotica ad h quando h tende a zero:
$$ (h\to0)\to\ e^h-1\sim h$$
Dunque in maniera asintotica scriviamo che:
$$ f'(x)=e^x\lim_{h\to0}\frac{e^h-1}{h}\sim e^x\lim_{h\to0}\frac{h}{h}=e^x$$
DERIVATA DELLA FUNZIONE ESPONENZIALE a^x
Consideriamo la funzione esponenziale :
$$ f(x)=a^x\qquad \text{con $a>0\land a\ne1$}$$
Applichiamo per il calcolo il limite del rapporto incrementale
$$\begin{aligned}&f'(x)=\lim_{h\to0}\frac{f(x+h)-f(x)}{h}\\&f'(x)=\lim_{h\to0}\frac{a^{x+h}-a^x}{h}=\frac{0}{0} \end{aligned}$$
Applichiamo le proprietà delle potenze e raccogliamo a alla x
$$f'(x)=\lim_{h\to0}\frac{a^x\ a^h-a^x}{h}=a^x\lim_{h\to0}\frac{a^h-1}{h}$$
Per i limiti notevoli la quantità al numeratore diventa asintotica ad h*loga quando h tende a zero:
$$ (h\to0)\to\ a^h-1\sim h\log a$$
dove log indica il logaritmo naturale, ovvero in base e (numero di Nepero).
Dunque in maniera asintotica scriviamo che:
$$ f'(x)=a^x\lim_{h\to0}\frac{a^h-1}{h}\sim a^x\lim_{h\to0}\frac{h\log a}{h}=a^x\log a$$
DERIVATA DELLA FUNZIONE LOGARITMICA log(1+x) (BASE e)
Consideriamo la funzione logaritmica con base numero di Nepero :
$$ f(x)=\log(1+x)$$
Applichiamo per il calcolo il limite del rapporto incrementale
$$\begin{aligned}&f'(x)=\lim_{h\to0}\frac{f(x+h)-f(x)}{h}\\&f'(x)=\lim_{h\to0}\frac{\log(1+x+h)-\log(1+x)}{h}=\frac{0}{0} \end{aligned}$$
Applichiamo le proprietà dei logaritmi sul numeratore della frazione:
$$\log(1+x+h)-\log(1+x)=\log\frac{1+x+h}{1+x}$$
Spezziamo ora la frazione presente all’interno del logaritmo nel seguente modo:
$$\log\frac{1+x+h}{1+x}=\log\left(\frac{1+x}{1+x}+\frac{h}{1+x}\right)=\log\left(1+\frac{1}{1+x}h\right)$$
Per i limiti notevoli tale numeratore diventa asintotica ad 1/(1+x) * h quando h tende a zero:
$$(h\to0)\to\log\left(1+\frac{1}{1+x}h\right)\sim\frac{1}{1+x}h$$
Dunque in maniera asintotica scriviamo che:
$$ f'(x)=\lim_{h\to0}\frac{\log\left(1+\frac{1}{1+x}h\right)}{h}\sim\lim_{h\to0}\frac{\frac{1}{1+x}h}{h}=\frac{1}{1+x}$$
DERIVATA DELLA FUNZIONE LOGARITMICA log(a) x
Consideriamo la funzione logaritmica :
$$ f(x)=\log_a(1+x)\qquad \text{con $a>0\land\ne1$}$$
Applichiamo per il calcolo il limite del rapporto incrementale
$$\begin{aligned}&f'(x)=\lim_{h\to0}\frac{f(x+h)-f(x)}{h}\\&f'(x)=\lim_{h\to0}\frac{\log_a(1+x+h)-\log_a(1+x)}{h}=\frac{0}{0} \end{aligned}$$
Applichiamo le proprietà dei logaritmi sul numeratore della frazione:
$$\log_a(1+x+h)-\log_a(1+x)=\log_a\frac{1+x+h}{1+x}$$
Spezziamo ora la frazione presente all’interno del logaritmo nel seguente modo:
$$\log_a\frac{1+x+h}{1+x}=\log_a\left(\frac{1+x}{1+x}+\frac{h}{1+x}\right)=\log_a\left(1+\frac{1}{1+x}h\right)$$
Per i limiti notevoli la quantità al numeratore diventa asintotica ad 1/(1+x) * h*log(a) e quando h tende a zero:
$$(h\to0)\to\log_a\left(1+\frac{1}{1+x}h\right)\sim\frac{1}{1+x}h\log_ae$$
Dunque in maniera asintotica scriviamo che:
$$ f'(x)=\lim_{h\to0}\frac{\log_a\left(1+\frac{1}{1+x}h\right)}{h}\sim\lim_{h\to0}\frac{\frac{1}{1+x}h\log_ae}{h}=\frac{1}{1+x}\log_ae$$
SCOPRI I LIMITI, LE DERIVATE E GLI INTEGRALI
Comincia il tuo percorso in una delle più avvincenti storie della matematica del XVII e del XVIII secolo.
Un viaggio incredibile che ti porterà a scoprire ed apprendere i segreti dei limiti, delle derivate e degli integrali
DERIVATA DELLA FUNZIONE GONIOMETRICA SENO
Consideriamo la funzione goniometrica seno di x (sinx):
$$ f(x)=\sin x$$
Applichiamo per il calcolo il limite del rapporto incrementale
$$\begin{aligned}&f'(x)=\lim_{h\to0}\frac{f(x+h)-f(x)}{h}\\&f'(x)=\lim_{h\to0}\frac{\sin(x+h)-\sin x)}{h}=\frac{0}{0} \end{aligned}$$
Applichiamo la formula di addizione del seno possiamo scrivere:
$$f'(x)=\lim_{h\to0}\left(\frac{\sin x\cos h+\sin h\cos x-\sin x}{h}\right)=$$
Notiamo che quando la h tende a zero il cosh tende a 1
$$h\to0:\ \cos h\sim 1$$
Dunque riscriviamo il nostro limite come
$$f'(x)=\lim_{h\to0}\left(\frac{\sin x+\sin h\cos x-\sin x}{h}\right)=\lim_{h\to0}\left(\frac{\sin h\cos x}{h}\right)$$
Per le proprietà dei limiti notevoli la funzione sinh tende ad h quando h tende a zero
$$ h\to0:\ \sin h\sim h$$
Dunque il nostro limite è in maniera asintotica (e quindi la derivata prima) risulta
$$ f'(x)=\lim_{h\to0}\left(\frac{\sin h\cos x}{h}\right)\sim\lim_{h\to0}\left(\frac{h\cos x}{h}\right) =\cos x$$
DERIVATA DELLA FUNZIONE GONIOMETRICA COSENO
Consideriamo la funzione goniometrica coseno di x (cosx):
$$ f(x)=\cos x$$
Applichiamo per il calcolo il limite del rapporto incrementale
$$\begin{aligned}&f'(x)=\lim_{h\to0}\frac{f(x+h)-f(x)}{h}\\&f'(x)=\lim_{h\to0}\frac{\cos(x+h)-\cos x)}{h}=\frac{0}{0} \end{aligned}$$
Applichiamo le proprietà della somma di angoli
$$f'(x)=\lim_{h\to0}\left(\frac{\cos x\cos h-\sin x\sin h-\cos x}{h}\right)=$$
Notiamo che quando la h tende a zero il cosh tende a 1
$$h\to0:\ \cos h\sim 1$$
Dunque riscriviamo il nostro limite come
$$f'(x)=\lim_{h\to0}\left(\frac{\cos x-\sin x\sin h-\cos x}{h}\right)=\lim_{h\to0}\left(\frac{-\sin h\sin x}{h}\right)$$
(Da notare che abbiamo semplicemente invertito i due fattori al numeratore: proprietà commutativa del prodotto)
Per le proprietà dei limiti notevoli la funzione sinh tende ad h quando h tende a zero
$$ h\to0:\ \sin h\sim h$$
Dunque il nostro limite è in maniera asintotica (e quindi la derivata prima) risulta
$$ f'(x)=\lim_{h\to0}\left(\frac{-\sin h\sin x}{h}\right)\sim\lim_{h\to0}\left(\frac{-h\sin x}{h}\right) =-\sin x$$
DERIVATA DELLA FUNZIONE GONIOMETRICA TANGENTE
Consideriamo la funzione goniometrica tangente di x (tanx):
$$ f(x)=\tan x$$
Applichiamo per il calcolo il limite del rapporto incrementale
$$\begin{aligned}&f'(x)=\lim_{h\to0}\frac{f(x+h)-f(x)}{h}\\&f'(x)=\lim_{h\to0}\frac{\tan(x+h)-\tan x)}{h}=\frac{0}{0} \end{aligned}$$
Applichiamo le formule dei addizione degli angoli nella tangente possiamo scrivere:
$$f'(x)=\lim_{h\to0}\left(\frac{\frac{\tan x+\tan h}{1-\tan x\tan h}-\tan x}{h}\right)=$$
Notiamo che quando la h tende a zero il tanh tende a h
$$ h\to0:\ \tan h\sim h$$
Dunque riscriviamo il nostro limite come
$$f'(x)=\lim_{h\to0}\left(\frac{\frac{\tan x+ h}{1-h\tan x}-\tan x}{h}\right)=$$
Svolgiamo i calcoli al numeratore facendo il denominatore comune
$$\begin{aligned}&\frac{\tan x+h-\tan x(1-\tan x)}{1-h\tan x}\\&\frac{\tan x+h-\tan x+h\tan^2 x}{1-h\tan x}=\frac{h(1+\tan^2x)}{1-h\tan x}\end{aligned}$$
Ritorniamo dunque al limite
$$\begin{aligned}&f'(x)=\lim_{h\to0}\left(\frac{h(1+\tan^2x)}{1-h\tan x}\cdot\frac{1}{h}\right)=\lim_{h\to0}\left(\frac{1+\tan^2x}{1-h\tan x}\right)=1+\tan^2x\end{aligned}$$
Un altro interessante modo è leggere la derivata della tangente come il quadrato del reciproco del coseno di x.
Giungiamo a questo straordinario risultato sfruttando la relazione fondamentale della goniometria:
$$ f'(x)=1+\tan^x=1+\frac{\sin^2x}{\cos^2x}=\frac{\cos^x+\sin^2x}{\cos^2x}=\frac{1}{\cos^2x}$$
Questo risultato può essere anche letto come il quadrato della secante di x (secx=1/cosx):
$$ f'(x)=1+\tan^x=\frac{1}{\cos^2x}=\sec^2x$$
DERIVATE DI ARCOSENO, ARCOCOSENO E ARCOCOTANGENTE
Le derivate di arcoseno, arcocoseno e arcotangente sono:
$$\begin{array}{l}y=\sin^{-1}x&\to&y=\large\frac{1}{\sqrt{1-x^2}}\\ y=\cos^{-1}x&\to&y=-\large\frac{1}{\sqrt{1-x^2}}\\ y=\tan^{-1}x&\to&y=\large\frac{1}{1+x^2} \end{array}$$
Per capire la dimostrazione di queste vi consiglio di leggere l’articolo dedicato alle derivate delle funzioni inverse
DERIVATE DI SENO COSENO IPERBOLICO
Le derivate di seno iperbolico, coseno iperbolico e tangente iperbolico sono
$$\begin{array}{l}y=\sin^{-1}x&\to&y=\large\frac{1}{\sqrt{1-x^2}}\\ y=\cos^{-1}x&\to&y=-\large\frac{1}{\sqrt{1-x^2}}\\ y=\tan^{-1}x&\to&y=\large\frac{1}{1+x^2} \end{array}$$
Per capirle meglio vai a questi articoli.
REGOLE DI DERIVAZIONE DI OPERAZIONI SEMPLICI
Grazie allo sviluppo delle derivate mediante il rapporto incrementale è stato possibile ricavare regole di derivazione per le funzioni collegate dalle operazioni fondamentali.
Ci riferiamo in questo caso a:
- Somme e differenze
- Moltiplicazioni
- Divisioni
Sotto riportiamo queste regole:

Per approfondire questi temi vedi gli articoli riguardanti la derivata di:
ESEMPI DI DERIVATE CON OPERAZIONI SEMPLICI
Vediamo qualche esempio basilare di calcolo di derivate con le operazioni elementari



SCOPRI I LIMITI, LE DERIVATE E GLI INTEGRALI
DERIVATE DI FUNZIONI COMPOSTE
Grazie alle procedure di derivazione basate sul limite del rapporto incrementale si è potuto estrapolare delle regole generali che valgono anche per le funzioni composte.
Consideriamo la seguente funzione composta:
$$ y=f\left(g(x)\right)$$
La derivata di questa funzione segue la regola:
$$ y’=\frac{dx}{dy}=\left(\frac{d}{d\left(g(x)\right)}f\left(g(x)\right)\right)\cdot \left(\frac{d}{dx}g(x)\right)\\ \ \\ \begin{aligned}&\frac{d}{d\left(g(x)\right)}f\left(g(x)\right)\ \text{ è la derivata della funzione $f\left(g(x)\right)$ rispetto a $g(x)$}\\&\frac{d}{dx}g(x)\ \text{è la derivata della funzione $g(x)$ rispetto alla $x$}\end{aligned}$$
Per comodità di scrittura si può scrivere:
$$ \left(f\left(g(x)\right)\right)’=f’\left(g(x)\right)\cdot g'(x)$$
Oppure anche
$$ \frac{df}{dx}=\frac{df}{dg}\cdot\frac{dg}{dx}\\ \ \\ \begin{aligned}&\frac{df}{dx}\ \text{ è la derivata di$f$ rispetto a $x$}\\&\frac{df}{dg}\ \text{ è la derivata di$f$ rispetto a $g$}\\&\frac{dg}{dx}\ \text{ è la derivata di$g$ rispetto a $x$}\end{aligned}$$
Chiaramente possiamo espandere questa procedura anche con tre o più funzionipresenti in una composizione.
Ad esempio se dobbiamo calcolare la derivata prima di f composto g composto k di x:
$$\left(f\left(g\left(k(x)\right)\right)\right)’$$
Possiamo scrivere in maniera sintetica:
$$ \frac{df}{dx}=\frac{df}{dg}\cdot\frac{dg}{dk}\cdot\frac{dk}{dx}$$
Per vedere più esempi vedi l’articolo sulle derivate di funzioni composte.
ELENCO DELLE DERIVATE DI FUNZIONI COMPOSTE
Sotto riportiamo l’elenco delle principali funzioni composte



DERIVATE DI FUNZIONI IN DUE VARIABILI
Tutte le regole elementari, composte e generali che abbiamo visto per le funzioni ad una variabile possono essere generalizzate alle funzioni a due o più variabili.
Prendiamo come punto di riferimento il caso di funzioni a due variabili.
Ricordiamo che per questo tipo di funzioni esistono le derivate parziali.
Ovvero quando dobbiamo calcolare la derivata prima la possiamo calcolare su una sola incognita alla volta.
Vediamo alcuni esempi
DERIVATE DI FUNZIONI A DUE VARIABILI – ESEMPIO 1
Consideriamo la seguente funzione in due variabili:
$$ f(x,y)=x^3-2x^2y+3y^2+3y^2$$
Calcoliamo la derivata parziale in x
$$ f’_x=\frac{\partial f}{\partial x}=3x^2-4xy$$
Ora passiamo alla derivata parziale in y
$$ f’_y=\frac{\partial f}{\partial y}=-4x^2+6y$$
DERIVATE DI FUNZIONI A DUE VARIABILI – ESEMPIO 2
Consideriamo la seguente funzione in due variabili:
$$ f(x,y)=\frac{x+2y}{x+1}$$
Calcoliamo la derivata parziale in x
$$ f’_x=\frac{\partial f}{\partial x}=\frac{1\cdot(x+1)-(x+2y)\cdot1}{(x+1)^2}=\frac{x+1-x-2y}{(x+1)^2}=\frac{1-2y}{(x+1)^2}$$
Ora passiamo alla derivata parziale in y
$$ f’_y=\frac{\partial f}{\partial y}=\frac{2\cdot(x+1)-(x+2y)\cdot0}{(x+1)^2}=\frac{2\cdot(x+1)}{(x+1)^2}=\frac{2}{x+1}$$
DERIVATE DI FUNZIONI A DUE VARIABILI – ESEMPIO 3
Consideriamo la seguente funzione in due variabili:
$$ f(x,y)=\log(x^2+3xy)$$

Calcoliamo la derivata parziale in x
$$ f’_x=\frac{\partial f}{\partial x}=\frac{2x+3y}{x^2+3xy}$$
Ora passiamo alla derivata parziale in y
$$ f’_y=\frac{\partial f}{\partial y}=\frac{3x}{x^2+3xy}$$
HAI QUALCHE DOMANDA ?
Se questo articolo ti ha fatto venire qualche domanda scrivila nei commenti.
SCOPRI I LIMITI, LE DERIVATE E GLI INTEGRALI
Comincia il tuo percorso in una delle più avvincenti storie della matematica del XVII e del XVIII secolo.
Un viaggio incredibile che ti porterà a scoprire ed apprendere i segreti dei limiti, delle derivate e degli integrali
L’ARTICOLO TI è PIACIUTO ?
Se questo contenuto ti è piaciuto e vorresti che anche altri utenti possano goderne di questo ed altri ancora sostieni il progetto offrendomi un semplice caffè virtuale
Questo semplice gesto per me significa moltissimo e può essere un forte impulso per lo sviluppo di tutto il progetto di divulgazione matematica
Visita il canale YouTube!